Новости и статьи по тактической медицине
Протокол TCCC 2024 на английском языке
Статьи

Оригинальный текст TCCC 2024 на английском языке

Ниже представлен полный оригинальный текст на английском языке протокола Tactical Combat Casualty Care (TCCC) Guidelines от 25 января 2024 г.

Скачать PDF-версию протокола TCCC 2024 на английском: https://t.me/HemoClamp/22.
Перевод на русский язык - здесь.
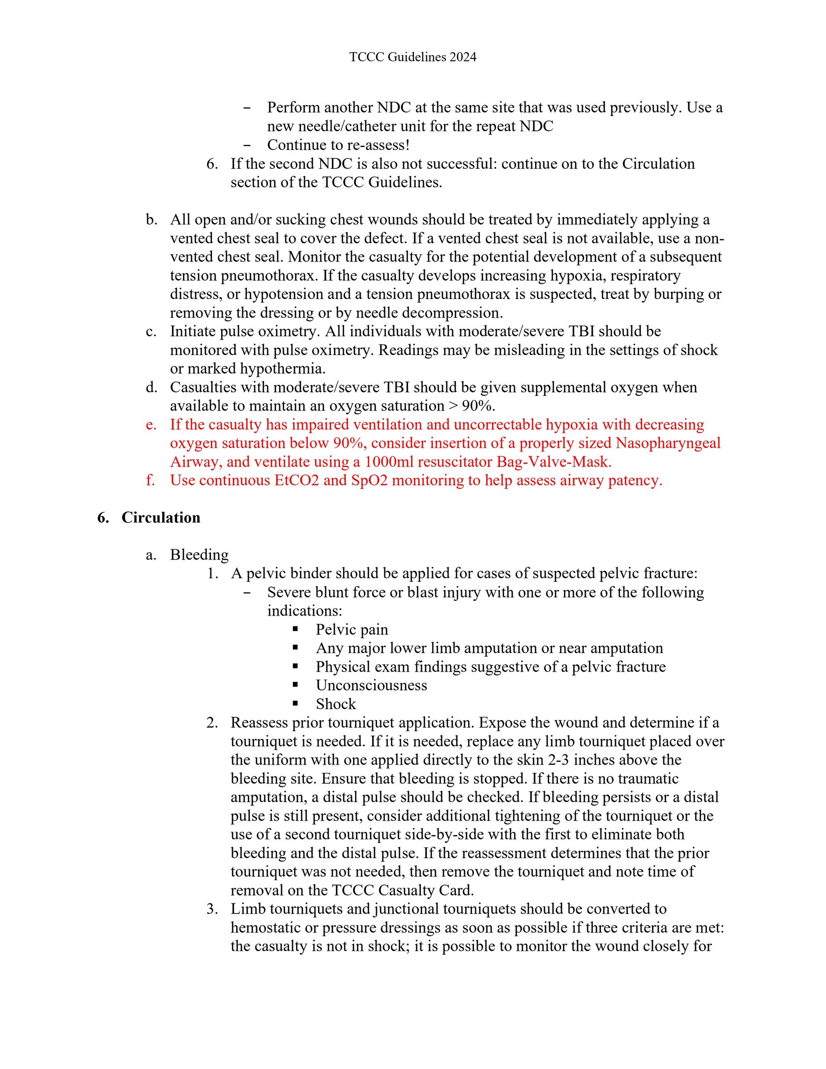
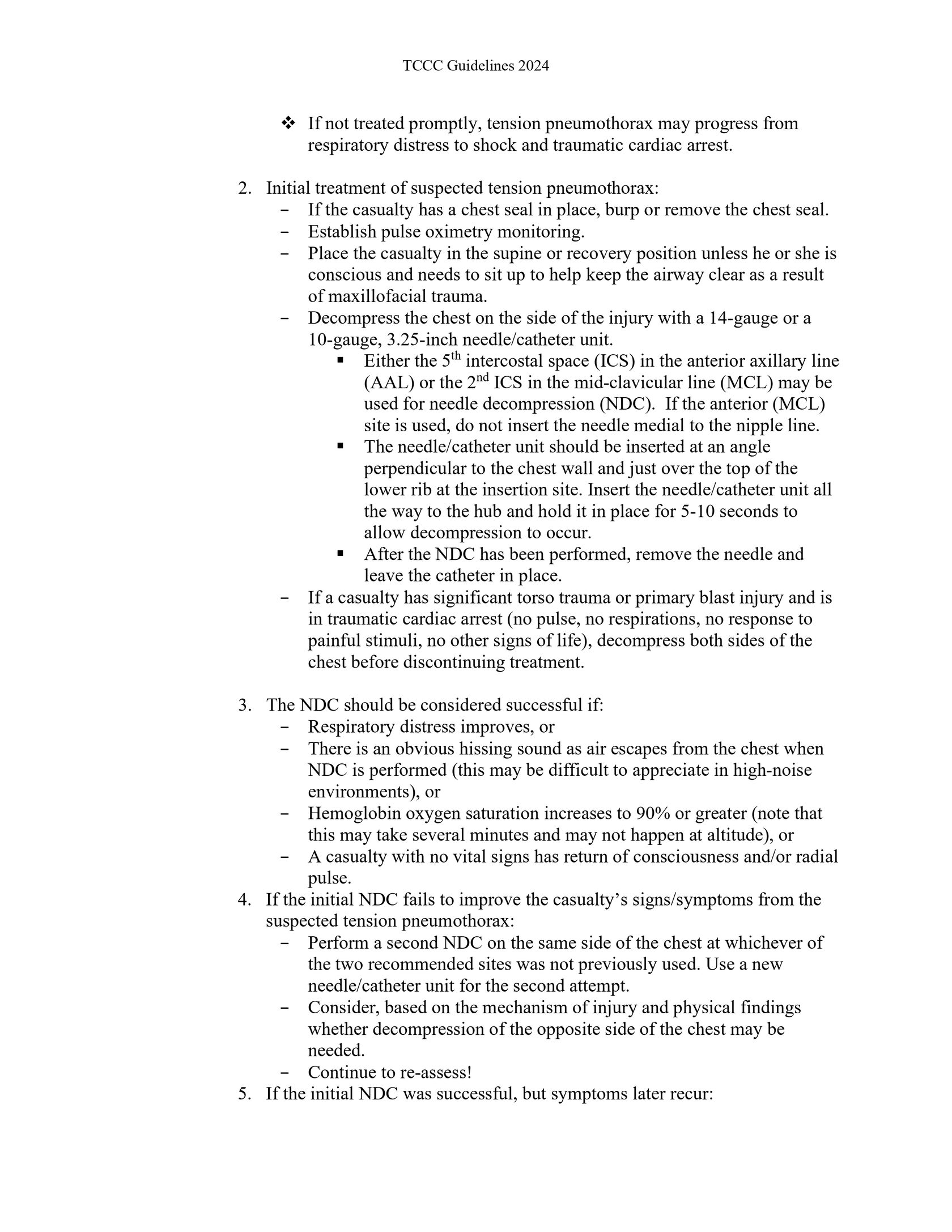
Протокол Tactical Combat Casualty Care (TCCC) Guidelines от 25 января 2024 г. полный текст на английском языке
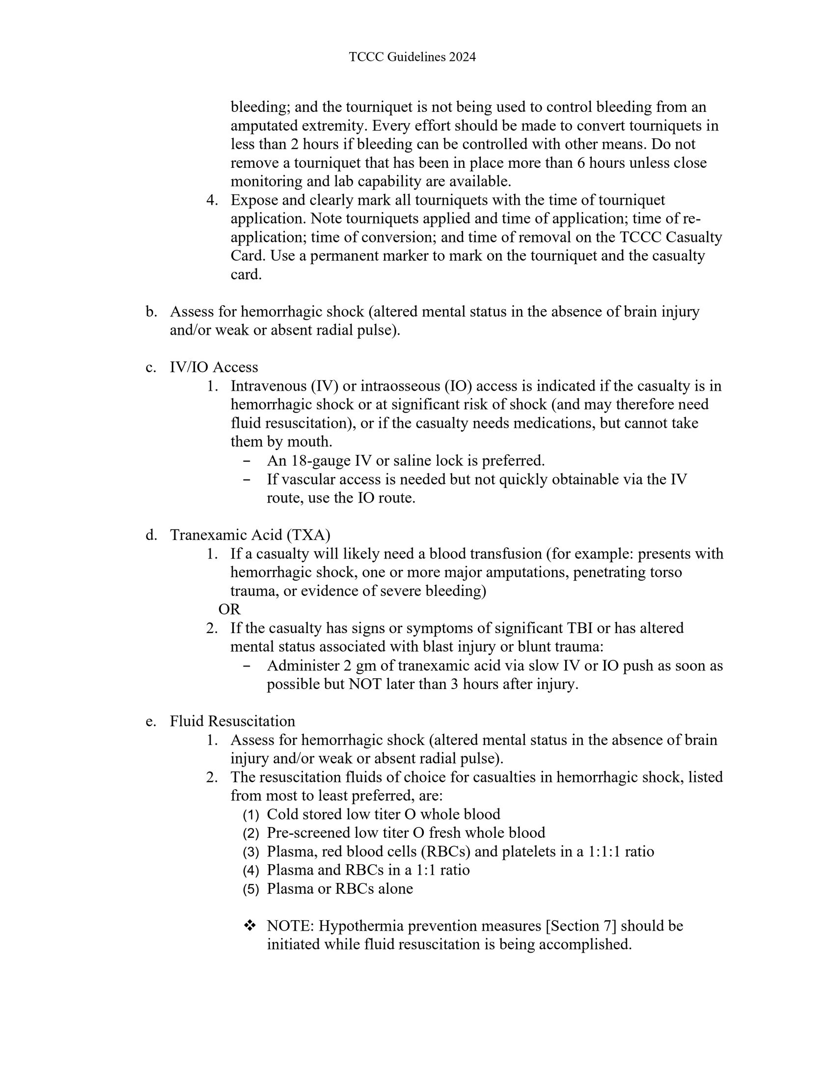
Протокол Tactical Combat Casualty Care (TCCC) Guidelines от 25 января 2024 г. полный текст на английском языке
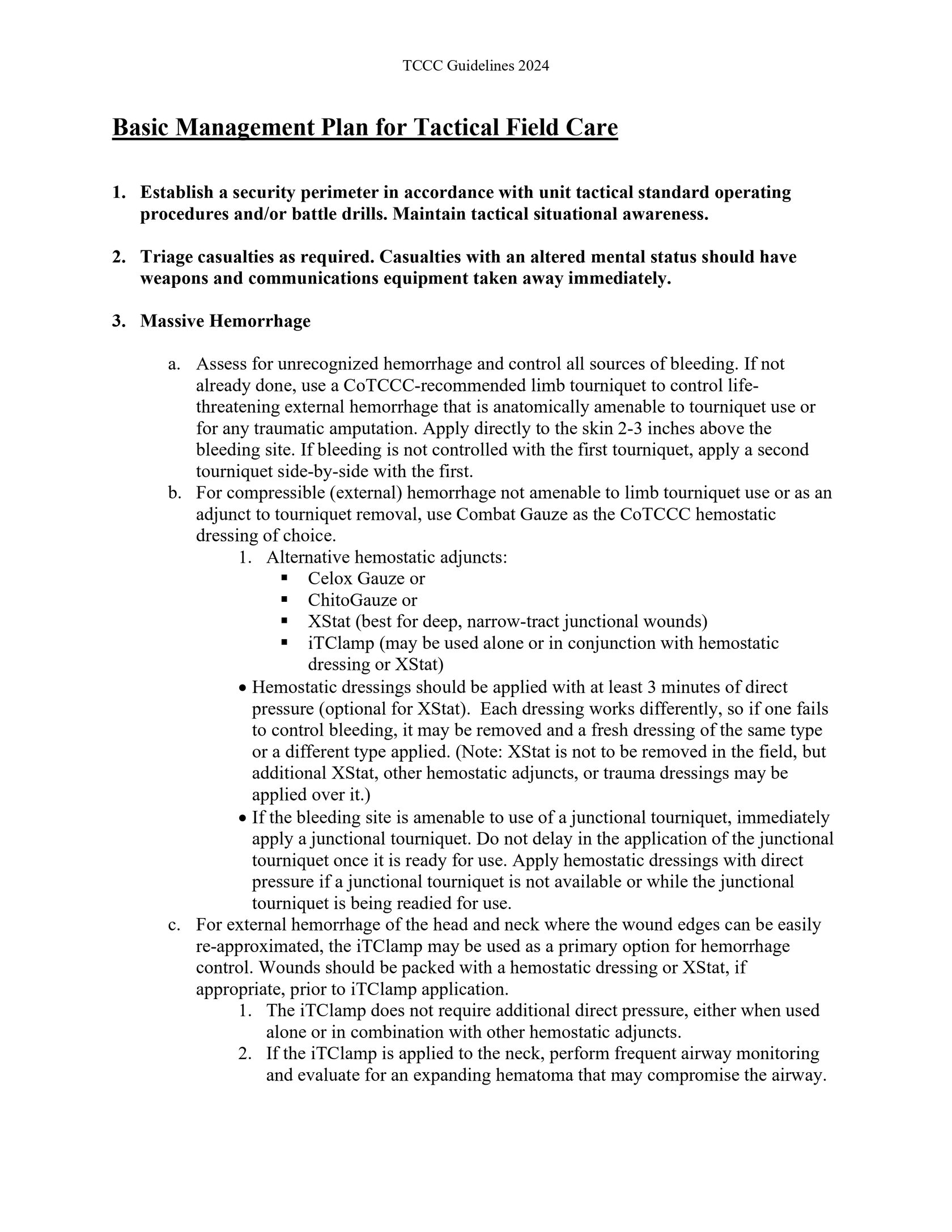
Протокол Tactical Combat Casualty Care (TCCC) Guidelines от 25 января 2024 г. полный текст на английском языке
Протокол Tactical Combat Casualty Care (TCCC) Guidelines от 25 января 2024 г. полный текст на английском языке
Протокол Tactical Combat Casualty Care (TCCC) Guidelines от 25 января 2024 г. полный текст на английском языке
Протокол Tactical Combat Casualty Care (TCCC) Guidelines от 25 января 2024 г. полный текст на английском языке
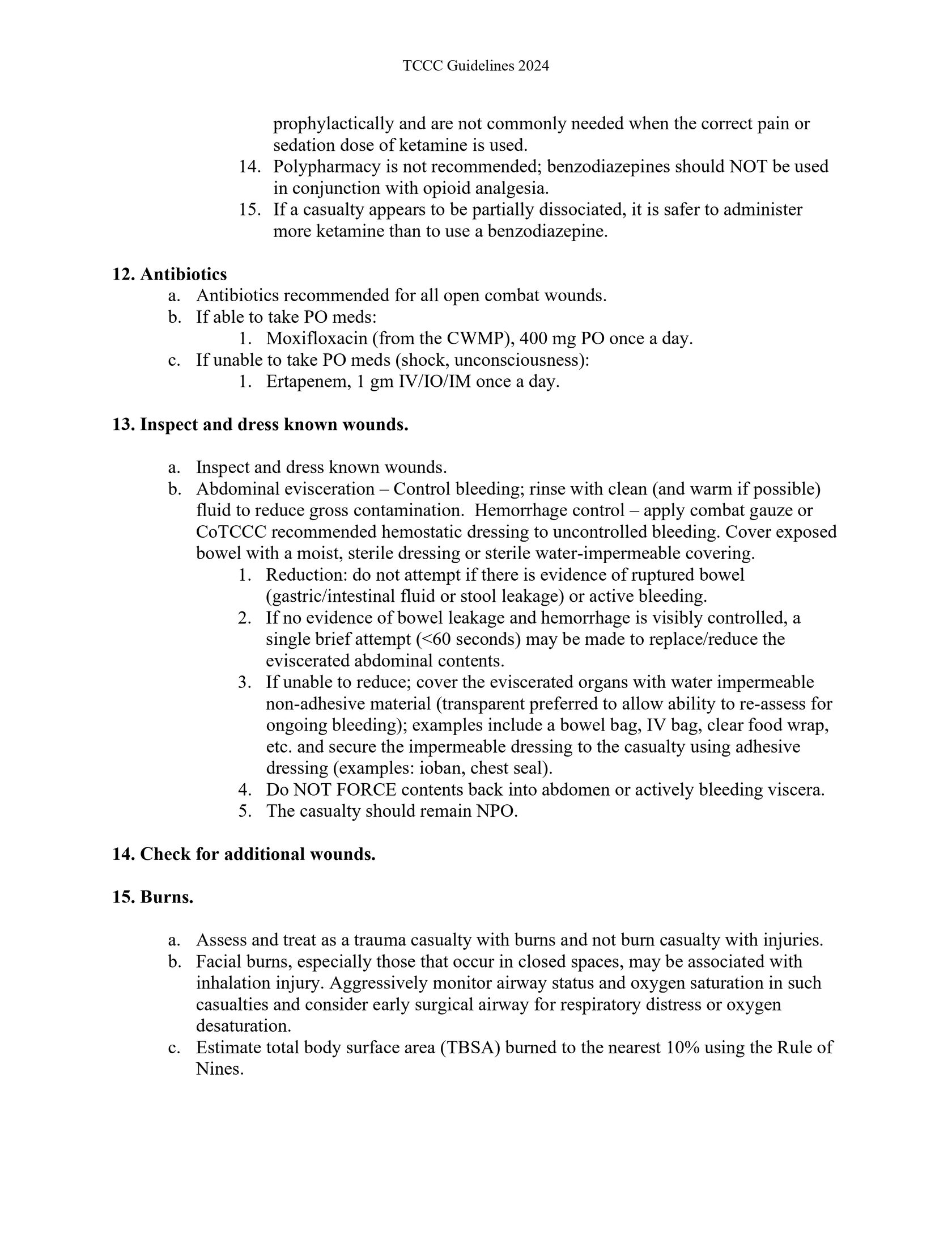
Протокол Tactical Combat Casualty Care (TCCC) Guidelines от 25 января 2024 г. полный текст на английском языке
Протокол Tactical Combat Casualty Care (TCCC) Guidelines от 25 января 2024 г. полный текст на английском языке
Протокол Tactical Combat Casualty Care (TCCC) Guidelines от 25 января 2024 г. полный текст на английском языке
Протокол Tactical Combat Casualty Care (TCCC) Guidelines от 25 января 2024 г. полный текст на английском языке
Протокол Tactical Combat Casualty Care (TCCC) Guidelines от 25 января 2024 г. полный текст на английском языке
Протокол Tactical Combat Casualty Care (TCCC) Guidelines от 25 января 2024 г. полный текст на английском языке
Протокол Tactical Combat Casualty Care (TCCC) Guidelines от 25 января 2024 г. полный текст на английском языке
Протокол Tactical Combat Casualty Care (TCCC) Guidelines от 25 января 2024 г. полный текст на английском языке
Протокол Tactical Combat Casualty Care (TCCC) Guidelines от 25 января 2024 г. полный текст на английском языке
Протокол Tactical Combat Casualty Care (TCCC) Guidelines от 25 января 2024 г. полный текст на английском языке
Протокол Tactical Combat Casualty Care (TCCC) Guidelines от 25 января 2024 г. полный текст на английском языке